近期,中国电工学会等离子体及应用专委会委员、河海大学陈秉岩博士与厦门大学陈强博士,研究了等离子体用于水环境治理与污染物处理的反应动力学规律,并取得新进展。研究结果表明:电弧等离子体射流降解苯酚和对硝基苯酚溶液,当溶液流速较低时属于扩散控制反应,当溶液流速较高时转化为活化能控制反应;增加放电反应器供电电压、提高溶液初始温度、改变溶液初始pH值和使用催化剂,均可以降低气液两相放电反应系统的活化能,从而有效提升有机物降解的反应速率和放电能量利用率。相关研究结果发表在环境科学类国际顶尖期刊Journal of Hazardous Materials上。以上研究成果,是该研究组在放电活性成分产生及其环境应用、放电光电特性及其诊断等研究成果(Plasma Sci. Technol., 2016, 18: 41-50. (Highlights paper); Plasma Sci. Technol., 2018, 20: 024005. (Highlights paper); IEEE T. Plasma Sci., 2019, 47: 837-846.; Plasma Sci. Technol., 2018, 20: 024009.; IEEE T. Plasma Sci., 2016, 44: 3369-3378.; Plasma Sci. Technol., 2016, 18: 278-286.; Plasma Sci. Technol., 2014, 16: 1126-1134.)之后取得的又一重要进展。Journal of Hazardous Materials由荷兰阿姆斯特丹的爱思唯尔(Elsevier)于1975年出版,快速发表具有较高影响力的环境科学领域的研究论文,该期刊为中科院分区环境科学1区期刊(IF: 6.434@2017-2018)。
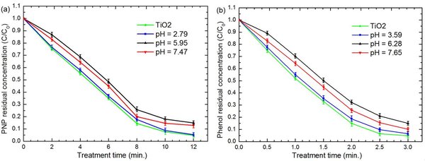
在水中和与水接触的放电等离子体,通常伴随着非常复杂的物理和化学过程,其在水环境污染治理、生物医学、材料科学等领域中有良好的应用前景。等离子体用于废水治理,气液两相放电活性成分及其反应动力学过程扮演着重要角色。课题组的研究发现,电弧等离子体射流插入流动的废水溶液中,增加溶液流速有利于提高气相等离子与液相之间的扩散与传质速率,从而促进废水中的苯酚和对硝基苯酚的清除效率;然而,当气相和液相之间的扩散速率达到并超过反应速率时,持续增加扩散速率无法提高废水降解反应速率和能量利用率。此时,可以通过改变溶液初始pH值、使用催化剂、提升反应温度等方式降低反应系统的活化能,从而提升废水降解反应速率。在未来的等离子体与水相互作用的应用中,可以通过改变气液两相流的反应动力学参数和等离子体源的活性成分和剂量,调控气液两相放电系统的反应动力学过程,获得不同的处理效果,最终获得高效利用放电能量的最佳调控参量。
课题组的相关研究得到了国家自然科学基金项目(Nos.: 11274092, 11874140)、中国高校创新创业教育改革研究基金项目(No.: 16CCJG01Z004)、中央高校基本科研业务费项目(No.: 2017B15214)的资助。
论文信息:
Bingyan Chen, Changping Zhu, Juntao Fei, Yongfeng Jiang, Cheng Yin, Wei Su, Xiang He, Yi Li, Qiang Chen, Qinggong Ren, and Yuwei Chen. Reaction kinetics of phenols and p-nitrophenols in flowing aerated aqueous solutions generated by a discharge plasma jet, J. Hazard. Mater., 2019, 363: 55-63.
论文链接:https://doi.org/10.1016/j.jhazmat.2018.09.051

等离子体射流处理流动含气有机溶液的主要反应过程

扩散速率影响等离子体射流处理流动状态的苯酚和对硝基苯酚废水的降解规律

活化能影响等离子体射流处理流动状态的苯酚和对硝基苯酚废水的降解规律
课题组相关论文:
[1] Bingyan Chen, Changping Zhu, Juntao Fei, Yongfeng Jiang, Cheng Yin, Wei Su, Xiang He, Yi Li, Qiang Chen, Qinggong Ren, and Yuwei Chen. Reaction kinetics of phenols and p-nitrophenols in flowing aerated aqueous solutions generated by a discharge plasma jet, J. Hazard. Mater., 2019, 363: 55-63.
[2] Bingyan Chen, Yulin Gan, Changyu Liu, Peisen Fang, Tian’an Yi, Wei Su, Yongfeng Jiang, Xiang He, Changping Zhu, and Juntao Fei. Evaluation of photoelectric characteristics of a volume DBD excited by power density modulation, IEEE T. Plasma Sci., 2019, 47: 837-846.
[3] Minglei Shan, Bingyan Chen, Cheng Yao, Qingbang Han, Changping Zhu, Yu Yang. Electric characteristic and cavitation bubble dynamics using underwater pulsed discharge, Plasma Sci. Technol., 2019, https://doi.org/10.1088/2058-6272/ab0b62. (Accepted online).
[4] Xiang He, Chong Liu, Yachun Zhang, Jianping Chen, Yudong Chen, Xiaojun Zen, Bingyan Chen, Jiaxin Pang, Yibing Wang. Diagnostic of capacitively coupled radio frequency plasma from electrical discharge characteristics: comparison with optical emission spectroscopy and fluid model simulation, Plasma Sci. Technol., 2018, 20: 024005 (8pp). (Highlights paper).
[5] 刘冲,何湘,张亚春,陈建平,陈玉东,曾小军,陈秉岩,朱卫华. 射频容性耦合等离子体放电特性的光谱诊断研究, 光谱学与光谱分析, 2018, 38(4): 1007-1013.
[6] Bingyan Chen, Changping Zhu, Juntao Fei, Xiang He, Cheng Yin, Yuan Wang, Yongfeng Jiang, Longwei Chen, Yuan Gao, and Qingbang Han. Water Content Effect on Oxides Yield in Gas and Liquid Phase Using DBD Arrays in Mist Spray, Plasma Sci. Technol., 2016,18(1): 41-50. (Highlights paper).
[7] Bingyan Chen, Xiangxiang Gao, Ke Chen, Changyu Liu, Qinshu Li, Wei Su, Yongfeng Jiang, Xiang He, Changping Zhu, and Juntao Fei. Regulation characteristics of oxide generation and formaldehyde removal by using volume DBD reactor, Plasma Sci. Technol., 2018, 20: 024009 (11pp).
[8] Bingyan Chen, Yulin Gan, Changping Zhu, Juntao Fei, Yongfeng Jiang, Xiangxiang Gao, Xiang He, Lei Wang, Wuque Cai, and Zihao Li. Oxides yield comparison between DBD and APPJ in water-gas mixture, IEEE T. Plasma Sci., 2016, 44(12): 3369-3378.
[9] Bingyan Chen, Changping Zhu, Juntao Fei, Xiang He, Cheng Yin, Yuan Wang, Ying Gao, Yongfeng Jiang, Wen Wen, and Longwei Chen. Yield of ozone, nitrite nitrogen and hydrogen peroxide versus discharge parameter using APPJ under water, Plasma Sci. Technol., 2016, 18(3): 278-286.
[10] Bingyan Chen, Changping Zhu, Longwei Chen, Juntao Fei, Ying Gao, Wen Wen, Minglei Shan, and Zhaoxing Ren. Atmospheric Pressure Plasma Jet in Organic Solution: Spectra, Degradation Effects of Solution Flow Rate and Initial pH Value, Plasma Sci. Technol., 2014, 16 (12): 1126-1134.